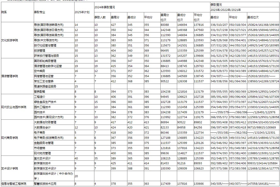
河北旅游职业学院往年分数线稍低的专业有:数字媒体技术专业最低分319,最高分384,最低分录取位次137450。室内艺术设计专业最低分365,最高分389,最低分录取位次128885。大数据与财务管理专业最低分412,最高分427,最低分录取位次80552。智慧旅游技术应用专业最低分355,最高分378,最低分录取位次137816。导游(中文导游方向)专业最低分365,最高分384,最低分录取位次126855。
1、河北旅游职业学院2023-2024历年录取最低分和人数

2、河北旅游职业学院2023-2024历年高考专业最低分和录取人数、位次排名